Differentiation rules
Product rule
The product rule generalises to multivariable functions, without modification. So, for a function of two variables, we have:
where, here, the subscript denotes partial differentiation.
Chain rule
We can also use the chain rule but we need to differentiate between two cases, which depend on how many variables we are dealing with. Let us first recall that for the single variable case, for a function where , the chain rule gives
We outline the two different cases for a function of two variables below.
Case 1
Consider a function where is a function of a single variable, i.e. and is a function of two variables, . Then this is analogous to the single-variable case shown above but now we have two equations for the two partials of wrt and . Applying the chain rule to determine , we have
and similarly is,
Case 2
Consider now a function where and . Since is a function of and , the partial derivatives we want to compute are and , as above. The rate at which changes with depends on both and . The partial derivative of wrt in this case therefore is given by the chain rule as follows
and is
Note that when differentiating partially wrt , we treat as a constant.
The chain rule is used to compute derivatives when changing variables. Suppose we have some quantity expressed in polar coordinates so that is known for any and . Suppose further that we want to differentiate with respect to the Cartesian coordinates, and [this often arises in the theory of partial differential equations (PDEs)]. Since and , we can express in terms of , as follows
and apply the chain rule.
and for
In order to obtain , we need to determine and (since the form of is known, we can easily obtain and . Using and , we can express in terms of and ,
Further, since , taking the inverse yields
where is an integer.
Laplacian operator
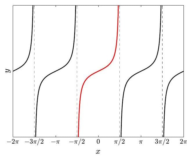
A function that is not 1 - 1 cannot have an inverse unless its domain is restricted. Recall that periodic functions are not . For the inverse function of the single-argument we restrict the domain to ; this is an open interval, i.e. the endpoints are not included:

The graph of in . The red part of the graph is in .

The inverse of the red part of graph given by ; its range is .
Now, let us go back to the two-argument arctan function, . We know that is defined in a circle . However, is calculated from and we know that . We need to adjust the calculated value of from such that it satisfies the sign of the arguments and that were used to calculate it. To see this consider the unit circle shown below showing the four quadrants of a Cartesian coordinate system.

For , we are in the first quadrant, where . Indeed, from the graph for , for we would see that lies in . It follows that our equation:
yields , where represents the angle which satisfies the signs of the arguments and , and thus we set . This is also true when . Moreover, we can show that , we take and for we take .
However, since we are looking for the partial derivative of wrt and , the constant vanishes upon differentiation and does not enter the final result.
From our eqn expressing in terms of and ,
differentiating partially wrt gives:
and from Eqn for , we have:
where we have used the result,
To see this, let such that
Differentiating implicitly gives,
Using the identity ,
which is
since . Note that as .
In polar coordinates, and are given by:
Therefore, back in from applying the chain rule to determine :
which leads to:
The result can be written in the operator form
A similar formula can be obtained for using expressions for and . This is given by ,
To obtain the second partial derivative operators, and , we partially differentiate wrt and , respectively. We can then show that their sum simplifies to
This is known as the Laplacian operator and it is extremely useful in the theory of PDEs.
Implicit differentiation
Suppose we have with domain with . We put the function in the form:
if the RHS is not zero, we move everything to the left to get it in this form. Now, suppose we want to compute the derivative . Sometimes we can proceed by solving Eq. (1.30) for but that is not always possible. Assume we have a point such that (so that ). Now, along the curve
is a function of only. We can differentiate with respect to on both sides:
Using , Eq. (1.32) gives as:
provided that . Recall that the subscripts in and denote partial differentiation with respect to and , respectively. At the point , we have:
Equation (1.34) gives the slope of the contour line at the point we started, i.e. in this case . Of course we can vary the point in the domain .
Example 1.11 Let define a curve on the -plane. Compute the derivative at the point .
Solution First note that we cannot 'solve for ' in this case since appears in the ln function. We proceed by defining:
Note that the domain, is defined as since the natural logarithm takes only real positive numbers as the argument. We use Eq. (1.33) to compute :
At , Eq. (1.36) gives . The same reasoning can be extended to functions of more than two variables, e.g. . Now, are level surfaces which can be represented as the graph of a function, . Again, sometimes we can 'solve for ' and sometimes we cannot. In any case, we can always compute the partial derivatives. So, with , the level surface is:
Then the derivatives of are:
Now, from Eqs. (1.38), we can obtain the partial derivatives of the implicit function which defines the level surface of through . Solving for and from Eqs. (1.38) yields,